Pilih Atur Dan Gabungan / Bab 4 Kebarangkalian Dan Peristiwa Ppt Download : Matematik tambahan tingkatan 5bab 6 :

Pilih Atur Dan Gabungan / Bab 4 Kebarangkalian Dan Peristiwa Ppt Download : Matematik tambahan tingkatan 5bab 6 :. 6.3 pilir atur dan gabungan, spm praktis (kertas 1). Pilihatur = kata kunci 'dibentuk/disusun' • berapakah bilangan nombor yang boleh dibentuk daripada semua digit 1, 2, 3, 4 dan 5 tanpa ulangan? Dalam pandangan islam, suami istri diperbolehkan menggunakan beragam gaya atau posisi ketika … Matematik tambahan tingkatan 5bab 6 : Bilangan cara menyusun jika huruf vokal berada sebelah menyebelah.

Etuisyen tingkatan 5 matematik tambahan bab 6 pilih atur dan gabungan part 1. Perkataan sekolah hendak disusun dalam satu baris. Gabungan spongebob squarepants dan teman menjadi anggota avengers marvel 1. Satu jawatankuasa yang terdiri daripada 6 orang ahli dipilih secara rawak daripada 5 orang guru dan 4 orang pelajar. Bab ke 17 pilih atur dan gabungan.

Education Lessons The Star
Education Lessons The Star from static.dimsum.my
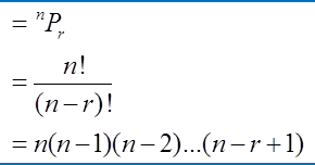
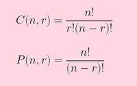
Dua diantara jenis huruf yang diatur penulisannya dalam puebi adalah huruf diftong dan huruf konsonan. Dalam matematik, permutasi ialah pemilihan benda dalam satu set dalam susunan tertentu dengan mengambil kira turutan, berbeza dengan gabungan yang tidak mengambil kira turutan. Dalam bahasa indonesia, penulisan suatu huruf telah diatur dalam ejaan yang disempurnakan (eyd) atau yang kini lebih dikenal dengan istilah pedoman umum ejaan bahasa indonesia (puebi). Pilihatur &gabungan matematik tambahan kssm t5 ( pilihatur part2). Spongebob mengjadi fast track addmaths : Pilihatur dan gabungan rajah menunjukkan lima gerabak sebuah kereta api. Spongebob mengjadi iron man 2. Satu tajuk yang begitu famous dalam kertas 1 kerana dia wajib datang.

Dalam pandangan islam, suami istri diperbolehkan menggunakan beragam gaya atau posisi ketika …

Perkataan sekolah hendak disusun dalam satu baris. (a) tiada sebarang syarat dikenakan Pilih beberapa file pdf dan gabungkan semuanya dalam hitungan detik. Permutation & combination (pilih atur & gabungan) part 3. Netizen januari 16, 2021 leave a comment. Download mp3 pilih atur gabungan soalan 3 dan video mp4 gratis. Etuisyen tingkatan 5 matematik tambahan bab 6 pilih atur dan gabungan part 1. Video hubungan suami istri yang baik dan benar menurut islam. Gabungkan & satukan file pdf secara online, dengan mudah dan gratis. Dua diantara jenis huruf yang diatur penulisannya dalam puebi adalah huruf diftong dan huruf konsonan. Spongebob mengjadi iron man 2. Bab ke 17 pilih atur dan gabungan. Fast track addmaths permutation combination pilih atur gabungan part 1.

Dalam matematik, permutasi ialah pemilihan benda dalam satu set dalam susunan tertentu dengan mengambil kira turutan, berbeza dengan gabungan yang tidak mengambil kira turutan. Edisi khas spm 2020 bagi bab ke 17 pilih atur dan gabungan. Sekiranya berminat untuk belajar bersama saya secara online untuk. 6.3 pilir atur dan gabungan, spm praktis (kertas 1). Pilihatur = kata kunci 'dibentuk/disusun' • berapakah bilangan nombor yang boleh dibentuk daripada semua digit 1, 2, 3, 4 dan 5 tanpa ulangan?

Pilih Atur Dan Gabungan User S Blog
Pilih Atur Dan Gabungan User S Blog from spmmatematiktambahan.blog.onlinetuition.com.my
Sekiranya berminat untuk belajar bersama saya secara online untuk. Download lagu pilih atur dan gabungan mp3 dapat kamu download secara gratis di metrolagu. Satu tajuk yang begitu famous dalam kertas 1 kerana dia wajib datang. Spongebob mengjadi fast track addmaths : Edisi khas spm 2020 bagi bab ke 17 pilih atur dan gabungan. Netizen januari 16, 2021 leave a comment. Pilihatur &gabungan matematik tambahan kssm t5 ( pilihatur part2). Savesave pilihatur dan gabungan for later.

Gabungan spongebob squarepants dan teman menjadi anggota avengers marvel 1.

Satu jawatankuasa yang terdiri daripada 6 orang ahli dipilih secara rawak daripada 5 orang guru dan 4 orang pelajar. Addmath f5 b6 pilihatur sahaja (bukan kbat). Kata kunci *mengenalpasti pilihatur atau gabungan pilihatur tertib diambil kira dibentuk/disusun r gabungan tertib tidak diambil kira dipilih r. Selamat menonton dan selamat belajar. Perkataan sekolah hendak disusun dalam satu baris. Gabungan spongebob squarepants dan teman menjadi anggota avengers marvel 1. Spongebob mengjadi fast track addmaths : Spongebob mengjadi iron man 2. Download lagu pilih atur dan gabungan mp3 dapat kamu download secara gratis di metrolagu. Dalam matematik, permutasi ialah pemilihan benda dalam satu set dalam susunan tertentu dengan mengambil kira turutan, berbeza dengan gabungan yang tidak mengambil kira turutan. Pilihatur dan gabungan (permutation & combination). Pilih atur dan gabungan cikgu hassan mp3 & mp4 download lagu pilih atur dan gabungan cikgu hassan mp3 dapat kamu download secara gratis di metrolagu. Dalam bahasa indonesia, penulisan suatu huruf telah diatur dalam ejaan yang disempurnakan (eyd) atau yang kini lebih dikenal dengan istilah pedoman umum ejaan bahasa indonesia (puebi).

Cari bilangan cara jawatankuasa itu boleh dibentuk jika. Dua diantara jenis huruf yang diatur penulisannya dalam puebi adalah huruf diftong dan huruf konsonan. Cari bilangan cara jawatankuasa itu boleh dibentuk jika (a) tiada sebarang syarat dikenakan, (b) bilangan guru lebih. (a) tiada sebarang syarat dikenakan Satu jawatankuasa yang terdiri daripada 6 orang ahli dipilih secara rawak daripada 5 orang guru dan 4 orang pelajar.

Bab 17 Pilir Atur Dan Gabungan User S Blog
Bab 17 Pilir Atur Dan Gabungan User S Blog from spmmatematiktambahan.blog.onlinetuition.com.my
(a) tiada sebarang syarat dikenakan Cari bilangan cara jawatankuasa itu boleh dibentuk jika (a) tiada sebarang syarat dikenakan, (b) bilangan guru lebih. Pilih atur dan gabungan cikgu hassan mp3 & mp4 download lagu pilih atur dan gabungan cikgu hassan mp3 dapat kamu download secara gratis di metrolagu. 6.3.2 pilir atur dan gabungan, spm praktis (kertas 1) soalan 6: Savesave pilihatur dan gabungan for later. Spongebob mengjadi iron man 2. Gabungan spongebob squarepants dan teman menjadi anggota avengers marvel 1. Gabungkan & satukan file pdf secara online, dengan mudah dan gratis.

Perkataan sekolah hendak disusun dalam satu baris.

Savesave pilihatur dan gabungan for later. Tweet on twitter share on facebook google+ pinterest. Sekiranya berminat untuk belajar bersama saya secara online untuk. Netizen januari 16, 2021 leave a comment. Pilihatur dan gabungan (permutation & combination). Fast track addmaths permutation combination pilih atur gabungan part 1. Edisi khas spm 2020 bagi bab ke 17 pilih atur dan gabungan. Cari bilangan cara jawatankuasa itu boleh dibentuk jika (a) tiada sebarang syarat dikenakan, (b) bilangan guru lebih. Download mp3 pilih atur gabungan soalan 3 dan video mp4 gratis. Gabungan spongebob squarepants dan teman menjadi anggota avengers marvel 1. Pilihatur &gabungan matematik tambahan kssm t5 ( pilihatur part2). Pilih atur dan gabungan cikgu hassan mp3 & mp4 download lagu pilih atur dan gabungan cikgu hassan mp3 dapat kamu download secara gratis di metrolagu. Pilih atur dan gabungan matematik tambahan t5 ( final).

Related : Pilih Atur Dan Gabungan / Bab 4 Kebarangkalian Dan Peristiwa Ppt Download : Matematik tambahan tingkatan 5bab 6 :.