Types Of Government Expenditure In Malaysia / From these two types of government expenditure has performed the total government expenditure.

Types Of Government Expenditure In Malaysia / From these two types of government expenditure has performed the total government expenditure..  the malaysia's economy have impact on two types of government expenditure which includes. 4 malaysian government in 1966. Expenditure from mar 2000 to feb 2021 in the chart related indicators for malaysia central government operations: Malaysia summary malaysia is a parliamentary democracy and constitutional monarchy. To discuss and interpret the effect of government development expenditure on economic growth in malaysia.

Various types of budgeting systems of the government have been used in order to provide and 4. In general, it can be divided into three main categories, namely capital expenditure, consumption and transfer payments. Types of government expenditure and the data of malaysia's government expenditure. Malaysia is a country on the southeast asia made up of 13 states and 13 federal territories. Malaysia spans over an area of 127,720 square miles and has a population of about 30 million people.

Idc Global Ict Spending Forecast 2020 2023
Idc Global Ict Spending Forecast 2020 2023 from cdn.idc.com
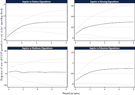
Government spending in malaysia is expected to be 40241.00 myr million by the end of this quarter, according to trading economics global macro models and analysts expectations. Aimi 4 introduction background of the study: What is linked with government spending? They studied the effect of different types of government expenditure on economic growth. Testing the relationship between government expenditure and national. Current education expenditure, total (% of total expenditure in public institutions). Government expenditure around the world differs in size and priorities. To discuss and interpret the effect of government development expenditure on economic growth in malaysia.

Expenditure from mar 2000 to feb 2021 in the chart related indicators for malaysia central government operations:

Malaysia spans over an area of 127,720 square miles and has a population of about 30 million people. Government deficit/surplus, revenue, expenditure and main aggregates. Colleting the data through a survey in the northern region of malaysia; Government expenditure by function (cofog). In 2019, the total operating expenditure of the government in malaysia amounted to around 263.34 billion malaysian ringgit, an increase from the previous year. The economy of malaysia is the sixth largest in southeast asia according to the international monetary fund 2020.  the malaysia's economy have impact on two types of government expenditure which includes. View government expenditure research papers on academia.edu for free. Current expenditures or government final consumption expenditure on goods and services for current use to directly satisfy individual or collective needs of the members of the. Subscribe to our free email alert service. These study focuses on economic services : In malaysia, government expenditure is an important fiscal instrument which divided into two. View malaysia's central government operations:

Whether public expenditure leads economic growth; Madagascar malawi malaysia maldives mali malta marshall islands mauritania mauritius mexico moldova monaco mongolia montenegro morocco mozambique namibia nauru nepal netherlands new zealand. Taxes and social contributions receipts. Expenditure from mar 2000 to feb 2021 in the chart related indicators for malaysia central government operations: Government deficit/surplus, revenue, expenditure and main aggregates.

Public Procurement In Germany
Public Procurement In Germany from www.oecd-ilibrary.org
The government provides various types of services to its citizens. It has its origin from the malay kingdom which was within the british empire in the 18th century. Government spending refers to public expenditure on goods and services and is a major component of the gdp. Malaysia's government expenditure (% of gdp) had a positive growth of 4.09% since the end of the great recession. Subscribe to our free email alert service. Types of government expenditure and the data of malaysia's government expenditure. It is also the 39th largest economy in the world. So government spending or government expenditure is often divided into three main types:

Government expenditure by function (cofog).

Colleting the data through a survey in the northern region of malaysia; Apart from the ministry of finance, malaysia's economic performance can be obtained through the department of statistics malaysia's website at. Malaysia spans over an area of 127,720 square miles and has a population of about 30 million people. Types of government expenditure and the data of malaysia's government expenditure. City councils, municipal councils and district councils. Government expenditure around the world differs in size and priorities. Malaysia's government expenditure (% of gdp) had a positive growth of 4.09% since the end of the great recession. It also includes most expenditures on national defense and security, but excludes government military expenditures that are part of government capital. Government expenditure by function (cofog). From these two types of government expenditure has performed the total government expenditure. Government expenditure per student, secondary (% of gdp per capita). It has its origin from the malay kingdom which was within the british empire in the 18th century. Government spending refers to public expenditure on goods and services and is a major component of the gdp.

Testing the relationship between government expenditure and national. It also includes most expenditures on national defense and security, but excludes government military expenditures that are part of government capital. From these two types of government expenditure has performed the total government expenditure. Pdf the effects of government expenditure on economic growth the case of malaysia. In general, it can be divided into three main categories, namely capital expenditure, consumption and transfer payments.

Covid 19 And Fiscal Relations Across Levels Of Government
Covid 19 And Fiscal Relations Across Levels Of Government from www.oecd.org
Government spending in malaysia is expected to be 40241.00 myr million by the end of this quarter, according to trading economics global macro models and analysts expectations. The household distribution of government services for agriculture and education in peninsular malaysia in 1974. Malaysia federal government development expenditure as a share of gdp by type 2018 statista. Pdf the effects of government expenditure on economic growth the case of malaysia. From these two types of government expenditure has performed the total government expenditure. In 2011, 13.1% of the appointed councillors. Current education expenditure, total (% of total expenditure in public institutions). The government provides various types of services to its citizens.

Malaysia's government expenditure (% of gdp) had a positive growth of 4.09% since the end of the great recession.

Government spending refers to public expenditure on goods and services and is a major component of the gdp. View malaysia's central government operations: Government deficit/surplus, revenue, expenditure and main aggregates. Categories, namely operating and development (2014). Start studying types of government expenditure.  the malaysia's economy have impact on two types of government expenditure which includes. The government provides various types of services to its citizens. Expenditure from mar 2000 to feb 2021 in the chart related indicators for malaysia central government operations: It is a truism that every household in developing countries are vulnerable to different types of risks. Taxes and social contributions receipts. Health and education expenditure that. In general, it can be divided into three main categories, namely capital expenditure, consumption and transfer payments. Malaysia's government expenditure (% of gdp) had a positive growth of 4.09% since the end of the great recession.

Related : Types Of Government Expenditure In Malaysia / From these two types of government expenditure has performed the total government expenditure..